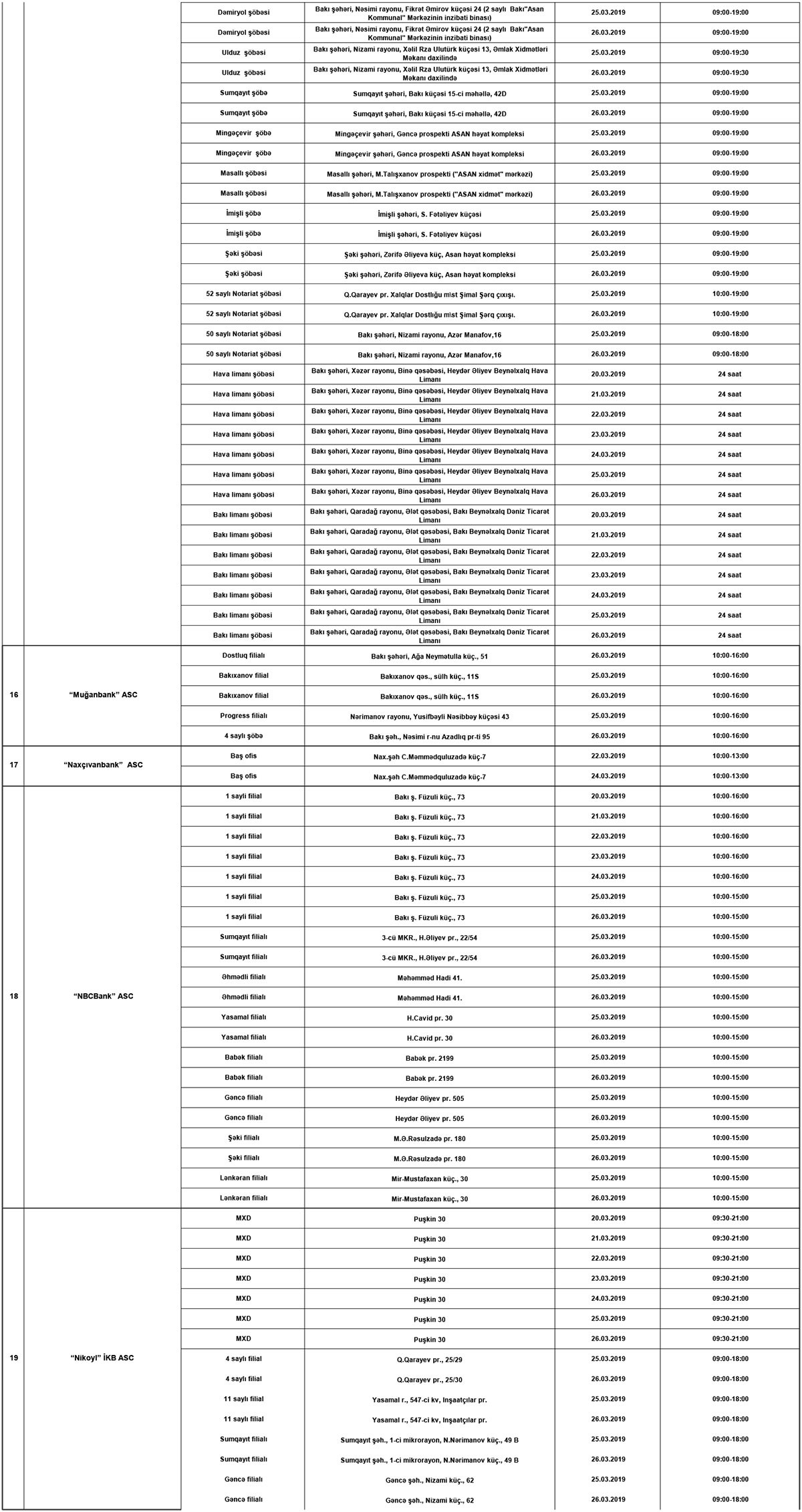
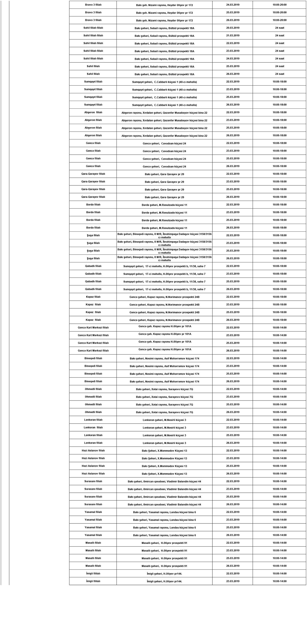
24 bankın 152 filial və şöbəsi gücləndirilmiş iş rejimində çalışacaq - SİYAHI
Ölkə əhalisinin və çoxsaylı turistlərin Novruz bayramı ilə əlaqədar qeyri-iş günləri ərzində bank xidmətlərindən rahat faydalanmasının təmin edilməsi məqsədilə 24 bankın 152 filial və şöbəsi gücləndirilmiş iş rejimində çalışacaq.
Bu barədə "Marja" Maliyyə Bazarlarına Nəzarət Palatasından bildirilib.
Bayram günləri ərzində ölkəmizə əhəmiyyətli turist axınının olacağını nəzərə alaraq onların valyuta mübadiləsi əməliyyatlarını rahat həyata keçirə bilmələri üçün Maliyyə Bazarlarına Nəzarət Palatası paytaxtda və əsas turizm bölgələrində yerləşən bankların filial və şöbələrinə gücləndirilmiş iş rejimində çalışmağı tövsiyə edib.
5 bankın Sumqayıt, Xırdalan, Gəncə, Lənkəran, Şəki, Xaçmaz, Quba, Bərdə, Naxçıvan və digər şəhərlərdə yerləşən 46 filial və şöbəsi müştərilərə xidmət göstərəcək.
Bakıda yerləşən 8 bankın 13 filial və şöbəsi 24/7 rejimində fəaliyyət göstərəcək.
Bundan əlavə, bayram günlərində Palatanın əməkdaşlarından ibarət xüsusi monitorinq qrupu fəaliyyət göstərəcək. Yarana biləcək hər hansı bir problemlə bağlı maliyyə xidmətləri istehlakçıları Palatada yaradılmış qaynar xəttə müraciət edə bilərlər:
Koordinator:
Azər Quluyev
Tel: 493-50-58 (dax:357);
Mob: +994 70 908 62 21
Mail: [email protected]
20-26 mart tarixlərində çalışacaq bank filial və şöbələrinin siyahısı və ünvanları
Müştərilərin xəbərləri
SON XƏBƏRLƏR
- 1 ay sonra
- 2 həftə sonra
- 21 saat əvvəl
-
- 1 gün əvvəl
-
1 gün əvvəl
Azərbaycanda süd istehsalı həcminin 10 %, ət istehsalının 20 % artırılması nəzərdə tutulur
- 1 gün əvvəl
-
1 gün əvvəl
SOCAR Çn şirkətilə “Abşeron” layihəsi çərçivəsində mümkün əməkdaşlığı nəzərdən keçirib
-
1 gün əvvəl
Avenue 8 öz fərqli memarlıq fəlsəfəsi ilə WUF 13 forumunda – VİDEO
-
1 gün əvvəl
Unicapital İnvestisiya Şirkəti 2025-ci ilin maliyyə nəticələrini açıqlayıb
-
1 gün əvvəl
“Avrora Qrup” Qurban Bayramı münasibətilə aztəminatlı ailələrə bayram sovqatı çatdırıb
-
1 gün əvvəl
PAŞA Bank “Nargis” Fondunun Qurban bayramı xeyriyyə aksiyasını dəstəkləyib
-
1 gün əvvəl
Bank of Baku-dan şəhid və qazi övladları üçün “RoboKəşf” təşəbbüsü – təlim və ekskursiya
Son Xəbərlər
Azvak.az-da yeni iş elanları
55 manatdan bank səhmdarı olmaq fürsəti: SON 18 GÜN
Bank sərfəli şərtlərlə əmanət qəbuluna davam edir
Azərbaycanda beynəlxalq sığorta forumu keçiriləcək
Avenue 8 öz fərqli memarlıq fəlsəfəsi ilə WUF 13 forumunda – VİDEO
“Avrora Qrup” Qurban Bayramı münasibətilə aztəminatlı ailələrə bayram sovqatı çatdırıb
Ən çox oxunanlar
Bir neçə banka borcu olanlar üçün fürsət – illik 5%-dək endirim!
Dolların 1 iyun üçün rəsmi məzənnəsi müəyyən olunub
"Kristal"ın bütün satış ofisləri bayram günlərində də açıq olacaq!
İnvestorlara milyonlarla manat borcu olan “FINCA Azerbaijan”ın bir sıra maliyyə göstəriciləri pisləşib
Bayram günlərində bankların və “Azərpoçt”un bəzi filial və şöbələri fəaliyyət göstərəcək -SİYAHI
"Ötən il BOKT “İnternational” bazardakı mövqeyini daha da möhkəmləndirib" - MÜSAHİBƏ







.jpg)








.jpg)





